Официальное опубликование правовых актов
ОФИЦИАЛЬНОЕ ОПУБЛИКОВАНИЕ
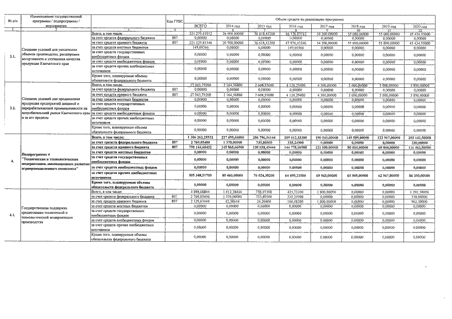
Постановление Правительства Камчатского края от 29.12.2016 № 539-П
"О внесении изменений в государственную программу Камчатского края "Развитие сельского хозяйства и регулирование рынков сельскохозяйственной продукции, сырья и продовольствия Камчатского края на 2014-2020 годы", утверждённую постановлением Правительства Камчатского края от 29.11.2013 № 523-П"
Номер опубликования: 4100201612300009
Дата опубликования: 30.12.2016
Страница №19 из 32:
Увеличить