Официальное опубликование правовых актов
ОФИЦИАЛЬНОЕ ОПУБЛИКОВАНИЕ
Постановление Правительства Камчатского края от 23.12.2016 № 524-П
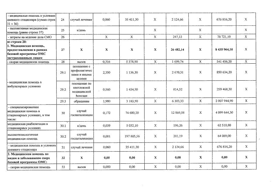
"Об утверждении Территориальной программы государственных гарантий бесплатного оказания гражданам медицинской помощи на территории Камчатского края на 2017 год и на плановый период 2018 и 2019 годов"
Номер опубликования: 4100201612290005
Дата опубликования: 29.12.2016
Страница №47 из 92:
Увеличить