Официальное опубликование правовых актов
ОФИЦИАЛЬНОЕ ОПУБЛИКОВАНИЕ
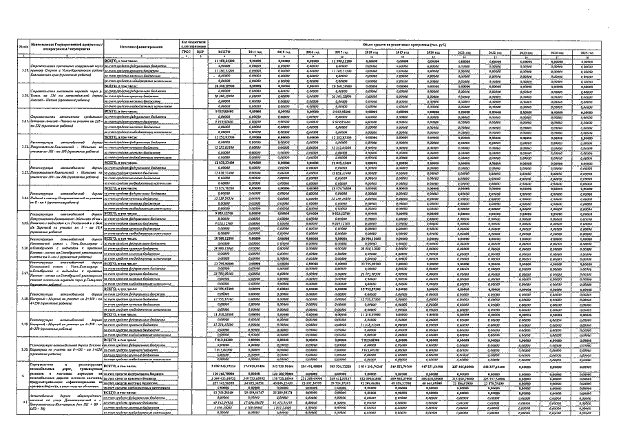
Постановление Правительства Камчатского края от 19.12.2016 № 503-П
"О внесении изменений в Государственную программу Камчатского края "Развитие транспортной системы в Камчатском крае на 2014-2025 годы", утверждённую постановлением Правительства Камчатского края от 29.11.2013 № 551-П"
Номер опубликования: 4100201612270006
Дата опубликования: 27.12.2016
Страница №18 из 23:
Увеличить