Официальное опубликование правовых актов
ОФИЦИАЛЬНОЕ ОПУБЛИКОВАНИЕ
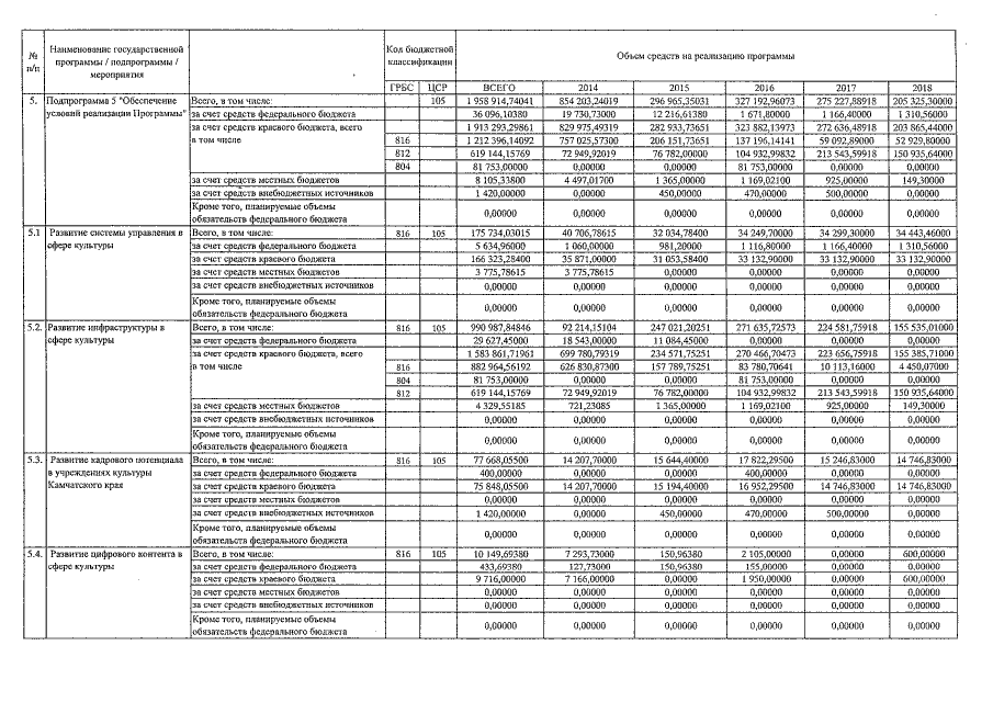
Постановление Правительства Камчатского края от 29.11.2016 № 468-П
"О внесении изменений в государственную программу Камчатского края "Развитие культуры в Камчатском крае на 2014-2018 годы", утверждённую постановлением Правительства Камчатского края от 29.11.2013 № 545-П"
Номер опубликования: 4100201612060004
Дата опубликования: 06.12.2016
Страница №14 из 15:
Увеличить