Официальное опубликование правовых актов
ОФИЦИАЛЬНОЕ ОПУБЛИКОВАНИЕ
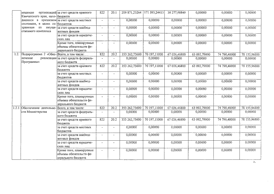
Постановление Правительства Камчатского края от 08.09.2016 № 353-П
"О внесении изменений в государственную программу Камчатского края "Совершенствование управления краевым имуществом Камчатского края на 2014-2018 годы", утверждённую постановлением Правительства Камчатского края от 11.11.2013 № 489-П"
Номер опубликования: 4100201609120003
Дата опубликования: 12.09.2016
Страница №11 из 11:
Увеличить