Официальное опубликование правовых актов
ОФИЦИАЛЬНОЕ ОПУБЛИКОВАНИЕ
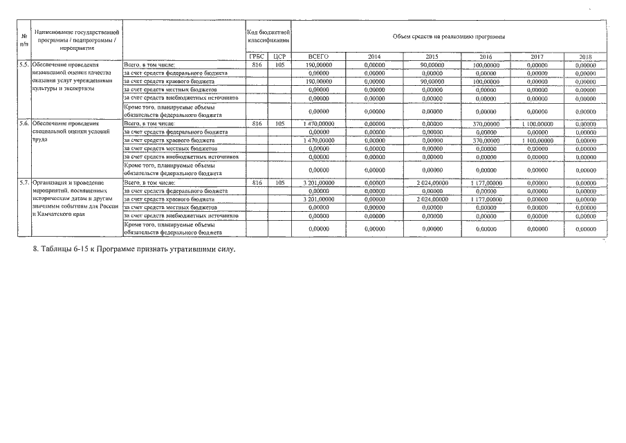
Постановление Правительства Камчатского края от 29.08.2016 № 339-П
"О внесении изменений в государственную программу Камчатского края "Развитие культуры в Камчатском крае на 2014-2018 годы", утверждённую постановлением Правительства Камчатского края от 29.11.2013 № 545-П"
Номер опубликования: 4100201608310002
Дата опубликования: 31.08.2016
Страница №12 из 12:
Увеличить