Официальное опубликование правовых актов
ОФИЦИАЛЬНОЕ ОПУБЛИКОВАНИЕ
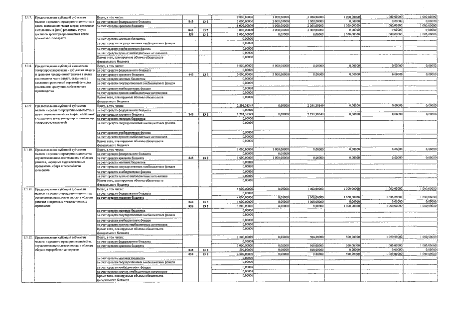
Постановление Правительства Камчатского края от 22.08.2016 № 335-П
"О внесении изменений в государственную программу Камчатского края "Развитие экономики и внешнеэкономической деятельности Камчатского края на 2014-2018 годы", утверждённую постановлением Правительства Камчатского края от 29.11.2013 № 521-П"
Номер опубликования: 4100201608300003
Дата опубликования: 30.08.2016
Страница №54 из 59:
Увеличить