Официальное опубликование правовых актов
ОФИЦИАЛЬНОЕ ОПУБЛИКОВАНИЕ
Постановление Правительства Камчатского края от 17.08.2016 № 326-П
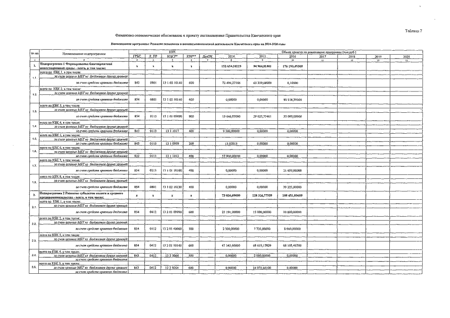
"О внесении изменений в постановление Правительства Камчатского края от 29.11.2013 № 521-П "О государственной программе Камчатского края "Развитие экономики и внешнеэкономической деятельности Камчатского края на 2014-2018 годы"
Номер опубликования: 4100201608220009
Дата опубликования: 22.08.2016
Страница №32 из 34:
Увеличить