Официальное опубликование правовых актов
ОФИЦИАЛЬНОЕ ОПУБЛИКОВАНИЕ
Постановление Правительства Камчатского края от 08.08.2016 № 300-П
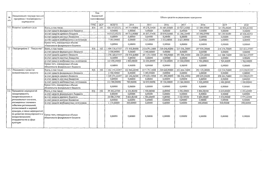
"О внесении изменений в постановление Правительства Камчатского края от 29.11.2013 № 545-П "Об утверждении государственной программы Камчатского края "Развитие культуры в Камчатском крае на 2014-2018 годы"
Номер опубликования: 4100201608100014
Дата опубликования: 10.08.2016
Страница №20 из 23:
Увеличить