Официальное опубликование правовых актов
ОФИЦИАЛЬНОЕ ОПУБЛИКОВАНИЕ
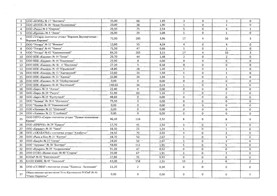
Постановление Губернатора Камчатского края от 26.07.2016 № 85
"Об утверждении лимитов добычи охотничьих ресурсов и квот добычи охотничьих ресурсов, за исключением таких лимитов и квот в отношении охотничьих ресурсов, находящихся на особо охраняемых природных территориях федерального значения, для Камчатского края на период с 01 августа 2016 года до 01 августа 2017 года"
Номер опубликования: 4100201607290001
Дата опубликования: 29.07.2016
Страница №9 из 68:
Увеличить