Официальное опубликование правовых актов
ОФИЦИАЛЬНОЕ ОПУБЛИКОВАНИЕ
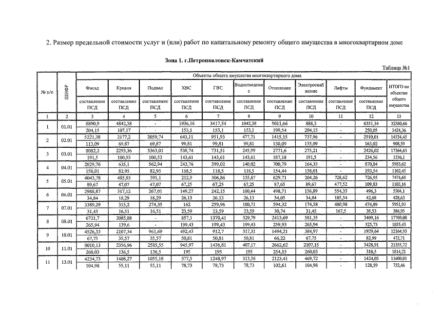
Постановление Правительства Камчатского края от 03.06.2016 № 217-П
"Об утверждении размера предельной стоимости услуг и (или) работ по капитальному ремонту общего имущества в многоквартирном доме в Камчатском крае на 2017-2019 годы"
Номер опубликования: 4100201606080012
Дата опубликования: 08.06.2016
Страница №4 из 24:
Увеличить