Официальное опубликование правовых актов
ОФИЦИАЛЬНОЕ ОПУБЛИКОВАНИЕ
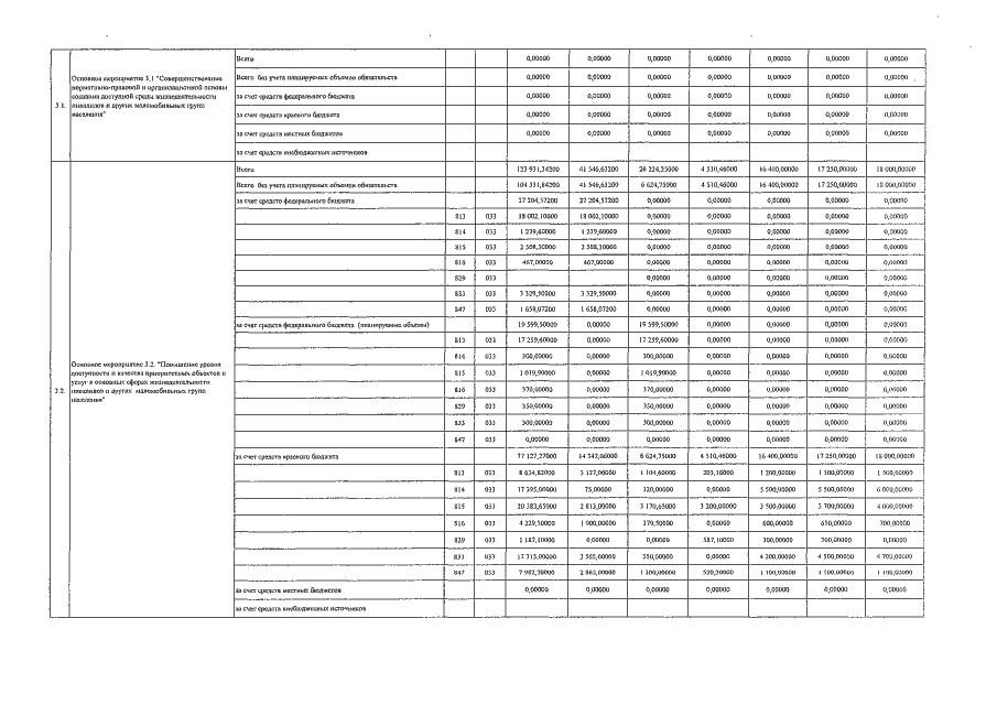
Постановление Правительства Камчатского края от 27.05.2016 № 195-П
"О внесении изменений в государственную программу Камчатского края "Социальная поддержка граждан в Камчатском крае на 2015-2020 годы", утверждённую постановлением Правительства Камчатского края от 29.11.2013 № 548-П"
Номер опубликования: 4100201606020008
Дата опубликования: 02.06.2016
Страница №20 из 29:
Увеличить