Официальное опубликование правовых актов
ОФИЦИАЛЬНОЕ ОПУБЛИКОВАНИЕ
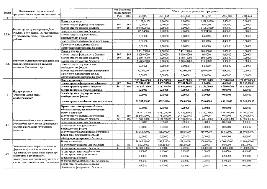
Постановление Правительства Камчатского края от 28.12.2015 № 497-П
"О внесении изменений в постановление Правительства Камчатского края от 29.11.2013 № 523-П "Об утверждении государственной программы Камчатского края "Развитие сельского хозяйства и регулирование рынков сельскохозяйственной продукции, сырья и продовольствия Камчатского края на 2014-2018 годы"
Номер опубликования: 4100201512290007
Дата опубликования: 29.12.2015
Страница №30 из 35:
Увеличить