Постановление Правительства Камчатского края от 07.12.2015 № 445-П
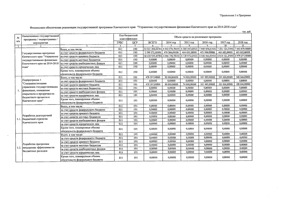
"О внесении изменений в государственную программу Камчатского края "Управление государственными финансами Камчатского края на 2014-2018 годы", утверждённую постановлением Правительства Камчатского края от 22.11.2013 № 511-П"
"О внесении изменений в государственную программу Камчатского края "Управление государственными финансами Камчатского края на 2014-2018 годы", утверждённую постановлением Правительства Камчатского края от 22.11.2013 № 511-П"
Номер опубликования: 4100201512090018
Дата опубликования:
09.12.2015
