Официальное опубликование правовых актов
ОФИЦИАЛЬНОЕ ОПУБЛИКОВАНИЕ
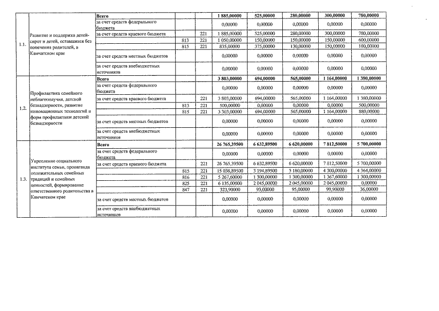
Постановление Правительства Камчатского края от 03.12.2015 № 440-П
"О внесении изменений в постановление Правительства Камчатского края от 18.12.2014 № 533-П "О государственной программе Камчатского края "Семья и дети Камчатки на 2015-2018 годы "
Номер опубликования: 4100201512040006
Дата опубликования: 04.12.2015
Страница №6 из 14:
Увеличить