Официальное опубликование правовых актов
ОФИЦИАЛЬНОЕ ОПУБЛИКОВАНИЕ
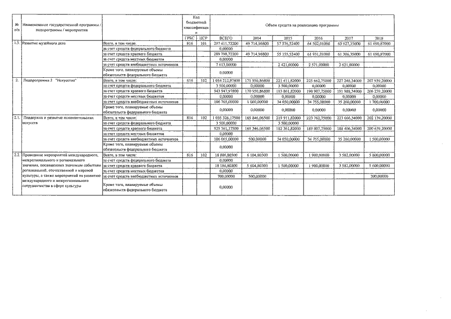
Постановление Правительства Камчатского края от 30.11.2015 № 433-П
"О внесении изменений в государственную программу Камчатского края "Развитие культуры в Камчатском крае на 2014-2018 годы", утверждённую постановлением Правительства Камчатского края от 29.11.2013 № 545-П"
Номер опубликования: 4100201512020003
Дата опубликования: 02.12.2015
Страница №9 из 12:
Увеличить