Официальное опубликование правовых актов
ОФИЦИАЛЬНОЕ ОПУБЛИКОВАНИЕ
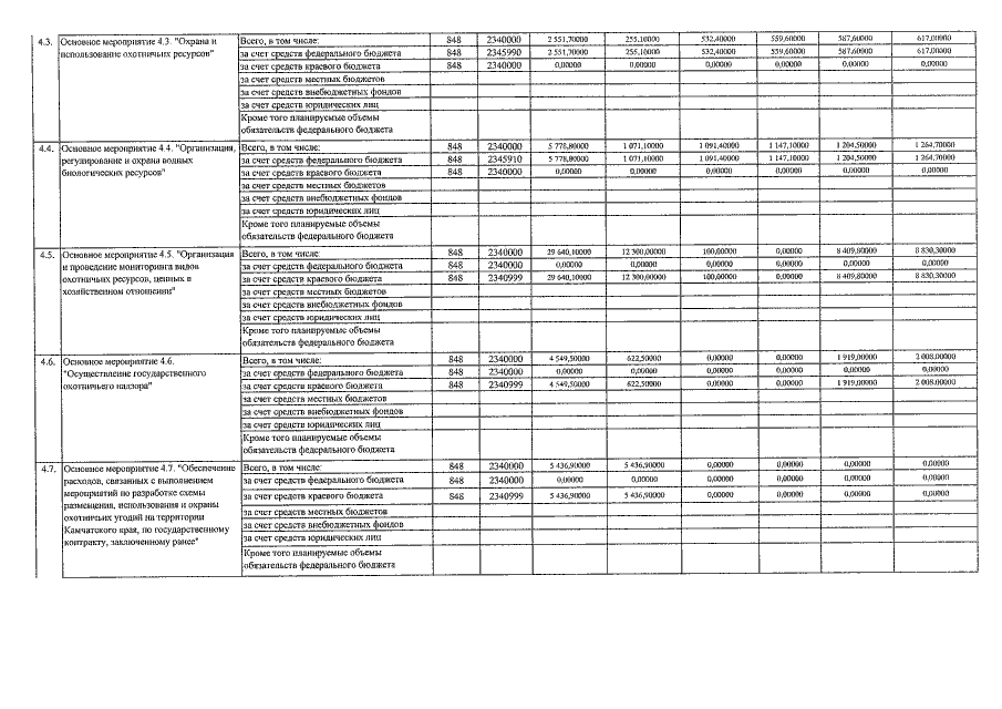
Постановление Правительства Камчатского края от 30.11.2015 № 434-П
"Об утверждении Государственной программы Камчатского края "Развитие лесного хозяйства, охрана и воспроизводство животного мира на территории Камчатского края на 2016-2020 годы"
Номер опубликования: 4100201512020002
Дата опубликования: 02.12.2015
Страница №67 из 69:
Увеличить