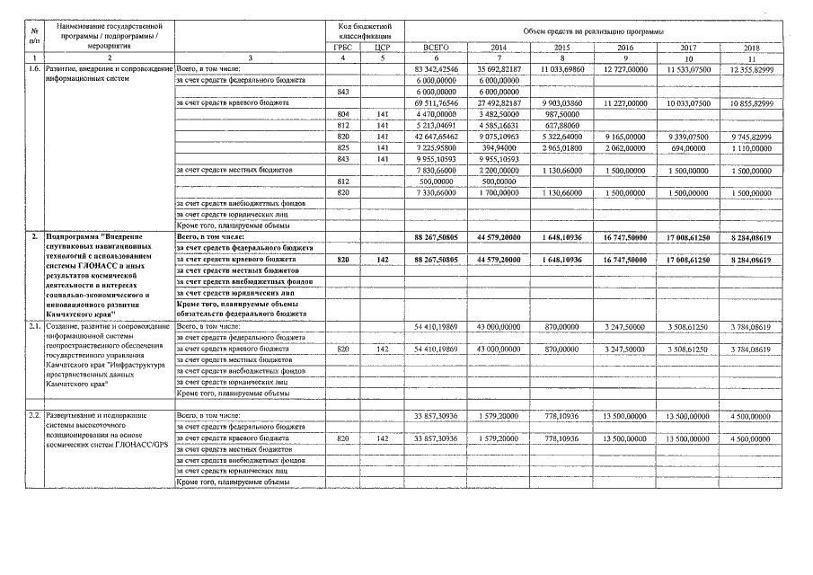
Постановление Правительства Камчатского края от 24.09.2015 № 339-П
"О внесении изменений в государственную программу Камчатского края "Информационное общество в Камчатском крае на 2014-2018 годы", утверждённую постановлением Правительства Камчатского края от 22.11.2013 № 512-П"
"О внесении изменений в государственную программу Камчатского края "Информационное общество в Камчатском крае на 2014-2018 годы", утверждённую постановлением Правительства Камчатского края от 22.11.2013 № 512-П"
Номер опубликования: 4100201509290001
Дата опубликования:
29.09.2015
