Официальное опубликование правовых актов
ОФИЦИАЛЬНОЕ ОПУБЛИКОВАНИЕ
Постановление Правительства Камчатского края от 21.08.2015 № 303-П
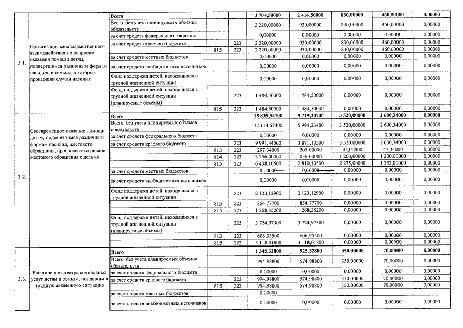
"О внесении изменений в государственную программу Камчатского края " Семья и дети Камчатки на 2015-2018 годы", утверждённую постановлением Правительства камчатского края от 18.12.2014 № 533-П"
Номер опубликования: 4100201508250001
Дата опубликования: 25.08.2015
Страница №11 из 13:
Увеличить