Официальное опубликование правовых актов
ОФИЦИАЛЬНОЕ ОПУБЛИКОВАНИЕ
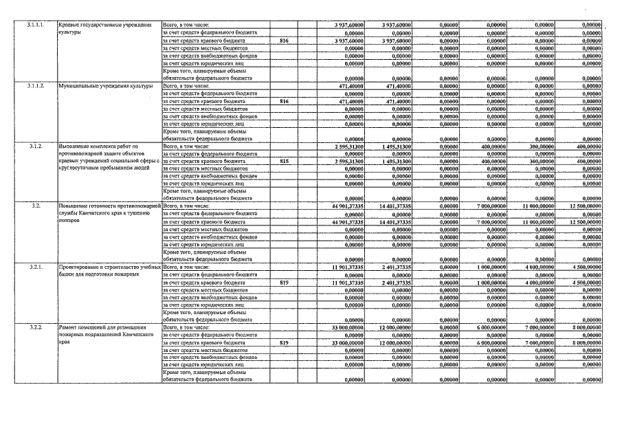
Постановление Правительства Камчатского края от 28.06.2015 № 229-П
"О внесении изменений в государственную программу Камчатского края "Защита населения, территорий от чрезвычайных ситуаций, обеспечение пожарной безопасности, развитие гражданской обороны и поддержка российского казачества на 2014-2018 годы на территории Камчатского края", утверждённую постановлением Правительства Камчатского края от 29.11.2013 № 526-П"
Номер опубликования: 4100201507010006
Дата опубликования: 01.07.2015
Страница №12 из 19:
Увеличить