Официальное опубликование правовых актов
ОФИЦИАЛЬНОЕ ОПУБЛИКОВАНИЕ
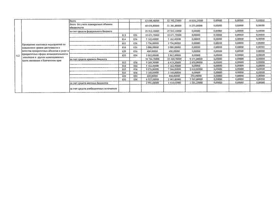
Постановление Правительства Камчатского края от 26.01.2015 № 25-П
"О внесении изменений в государственную программу Камчатского края "Социальная поддержка граждан в Камчатском крае на 2014-2018 годы", утверждённую постановлением Правительства Камчатского края от 29.11.2013 № 548-П"
Номер опубликования: 4100201501300003
Дата опубликования: 30.01.2015
Страница №25 из 38:
Увеличить