Официальное опубликование правовых актов
ОФИЦИАЛЬНОЕ ОПУБЛИКОВАНИЕ
Постановление Губернатора Камчатского края от 29.12.2014 № 168
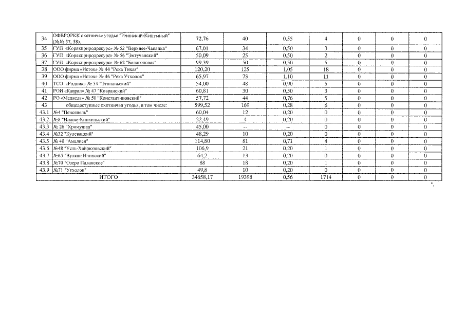
"О внесении изменений в приложение 2 к постановлению Губернатора Камчатского края от 01.08.2014 № 92 "Об утверждении лимитов добычи охотничьих ресурсов и квот добычи охотничьих ресурсов, за исключением таких лимитов и квот в отношении охотничьих ресурсов, находящихся на особо охраняемых природных территориях федерального значения, для Камчатского края на период с 01 августа 2014 года до 01 августа 2015 года"
Номер опубликования: 4100201501040001
Дата опубликования: 04.01.2015
Страница №12 из 12:
Увеличить