Официальное опубликование правовых актов
ОФИЦИАЛЬНОЕ ОПУБЛИКОВАНИЕ
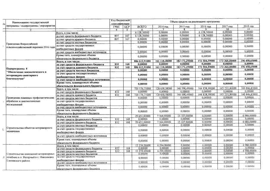
Постановление Правительства Камчатского края от 30.12.2014 № 553-П
"О внесении изменений в государственную программу Камчатского края "Развитие сельского хозяйства и регулирование рынков сельскохозяйственной продукции, сырья и продовольствия Камчатского края на 2014-2018 годы", утвержденную постановлением Правительства Камчатского края от 29.11.2013 № 523-П"
Номер опубликования: 4100201412300001
Дата опубликования: 30.12.2014
Страница №24 из 26:
Увеличить