Официальное опубликование правовых актов
ОФИЦИАЛЬНОЕ ОПУБЛИКОВАНИЕ
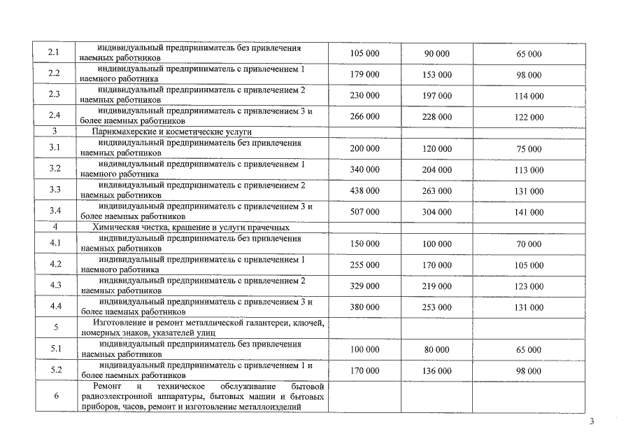
Закон Камчатского края от 06.11.2014 № 540
"О внесении изменений в Закон Камчатского края "О патентной системе налогообложения в Камчатском крае"
Номер опубликования: 4100201411140036
Дата опубликования: 14.11.2014
Страница №3 из 17:
Увеличить