Официальное опубликование правовых актов
ОФИЦИАЛЬНОЕ ОПУБЛИКОВАНИЕ
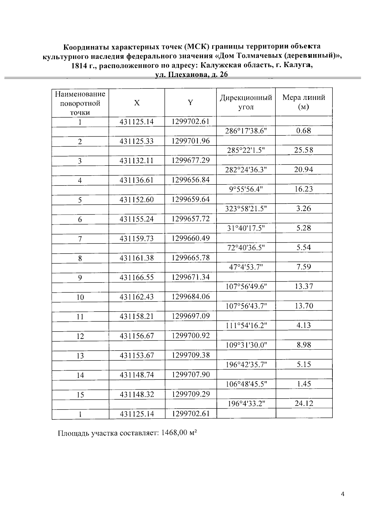
Приказ Управления по охране объектов культурного наследия Калужской области от 27.01.2026 № 12
"О внесении изменений в приказ управления по охране объектов культурного наследия Калужской области от 12 сентября 2018 года № 254 "Об утверждении границ и режима использования территории объекта культурного наследия федерального значения "Дом Толмачевых (деревянный)", 1814 г., расположенного по адресу: Калужская область, г. Калуга, ул. Плеханова, д. 26"
(Зарегистрирован 09.02.2026 № 16371)
Номер опубликования: 4001202602100003
Дата опубликования: 10.02.2026
Страница №4 из 5:
Увеличить