Официальное опубликование правовых актов
ОФИЦИАЛЬНОЕ ОПУБЛИКОВАНИЕ
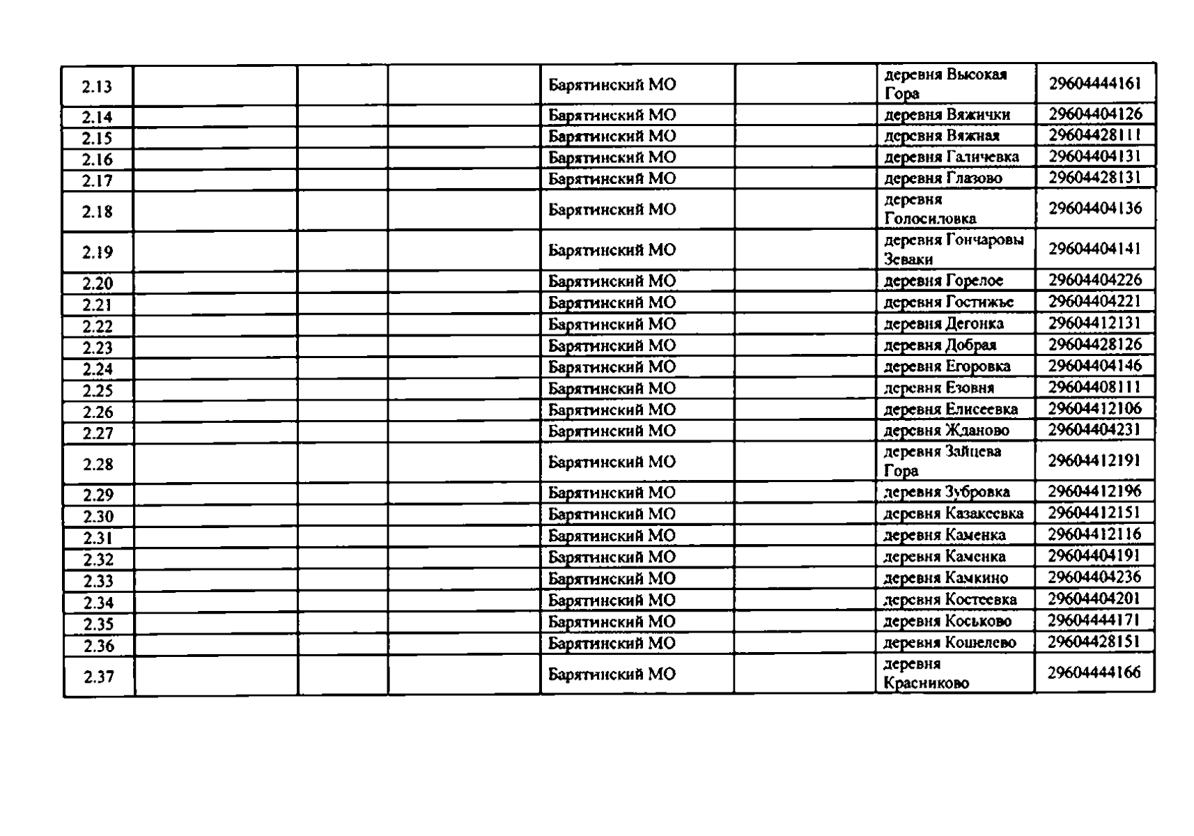
Приказ Министерства сельского хозяйства Калужской области от 23.12.2025 № 356
"Об определении перечня опорных населенных пунктов и прилегающих территорий Калужской области"
(Зарегистрирован 29.12.2025 № 16285)
Номер опубликования: 4001202512300008
Дата опубликования: 30.12.2025
Страница №8 из 121:
Увеличить