Официальное опубликование правовых актов
ОФИЦИАЛЬНОЕ ОПУБЛИКОВАНИЕ
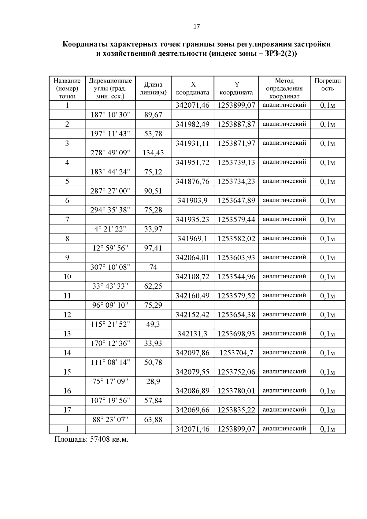
Приказ Управления по охране объектов культурного наследия Калужской области от 10.12.2025 № 230
"Об установлении зон охраны объекта культурного наследия федерального значения "Церковь Воскресения", посл. четверть XVIII в. – нач. XIX в., 1803 г. расположенного по адресу: Калужская область, Ульяновский муниципальный округ, село Ульяново, ул. Лапшова, зд. 5А и утверждении требований к градостроительным регламентам в границах территорий данных зон"
(Зарегистрирован 16.12.2025 № 16026)
Номер опубликования: 4001202512170001
Дата опубликования: 17.12.2025
Страница №17 из 33:
Увеличить