Официальное опубликование правовых актов
ОФИЦИАЛЬНОЕ ОПУБЛИКОВАНИЕ
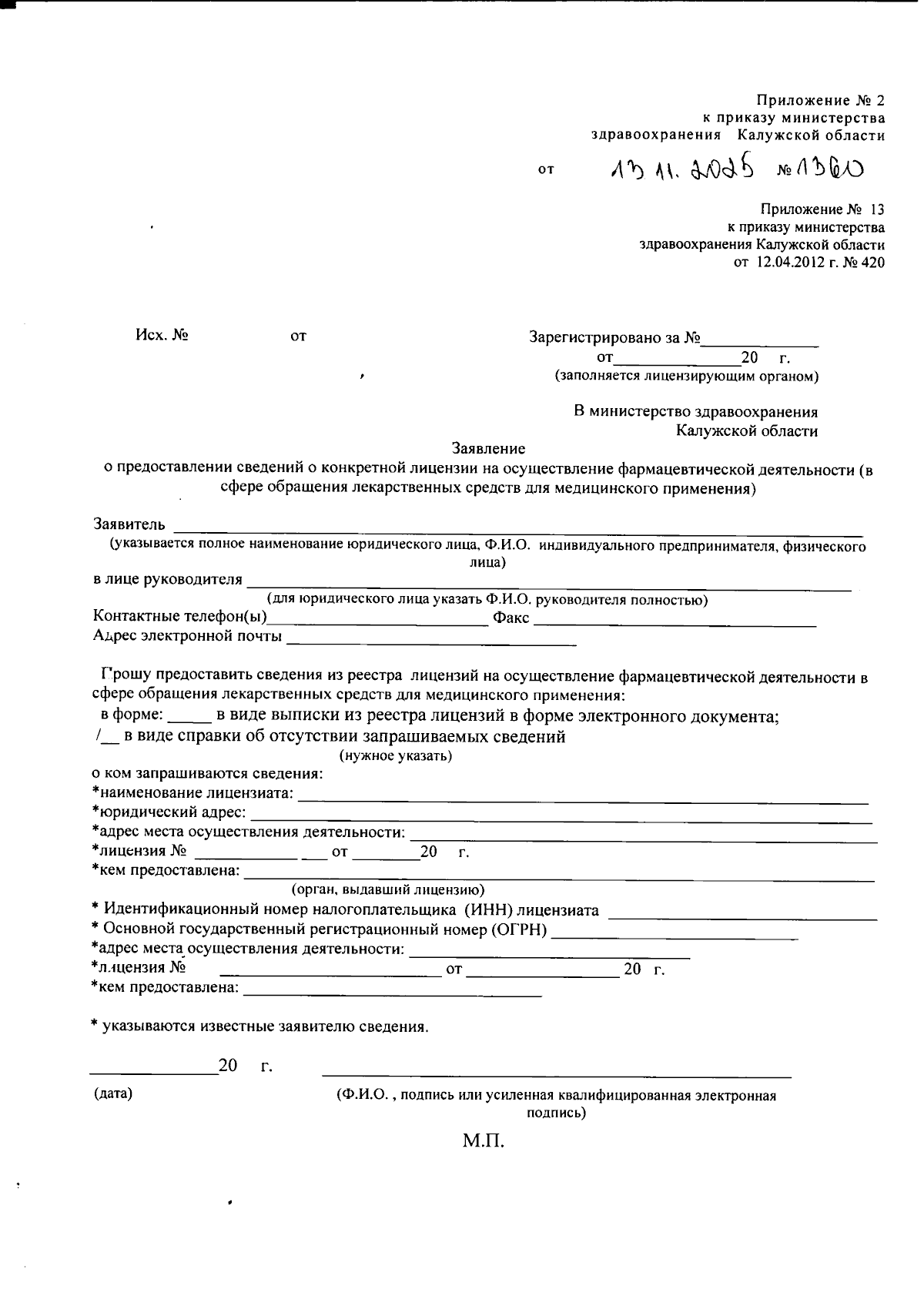
Приказ Министерства здравоохранения Калужской области от 13.11.2025 № 1360
"О внесении изменений в приказ министерства здравоохранения Калужской области от 12.04.2012 № 420 "Об утверждении форм документов, используемых министерством здравоохранения Калужской области в процессе лицензирования фармацевтической деятельности" (в ред. приказов министерства здравоохранения Калужской области от 28.12.2020 № 1669, от 23.03.2022 № 374)"
(Зарегистрирован 19.11.2025 № 15895)
Номер опубликования: 4001202511250007
Дата опубликования: 25.11.2025
Страница №5 из 9:
Увеличить