Официальное опубликование правовых актов
ОФИЦИАЛЬНОЕ ОПУБЛИКОВАНИЕ
Приказ Министерства строительства и жилищно-коммунального хозяйства Калужской области от 10.09.2025 № 486
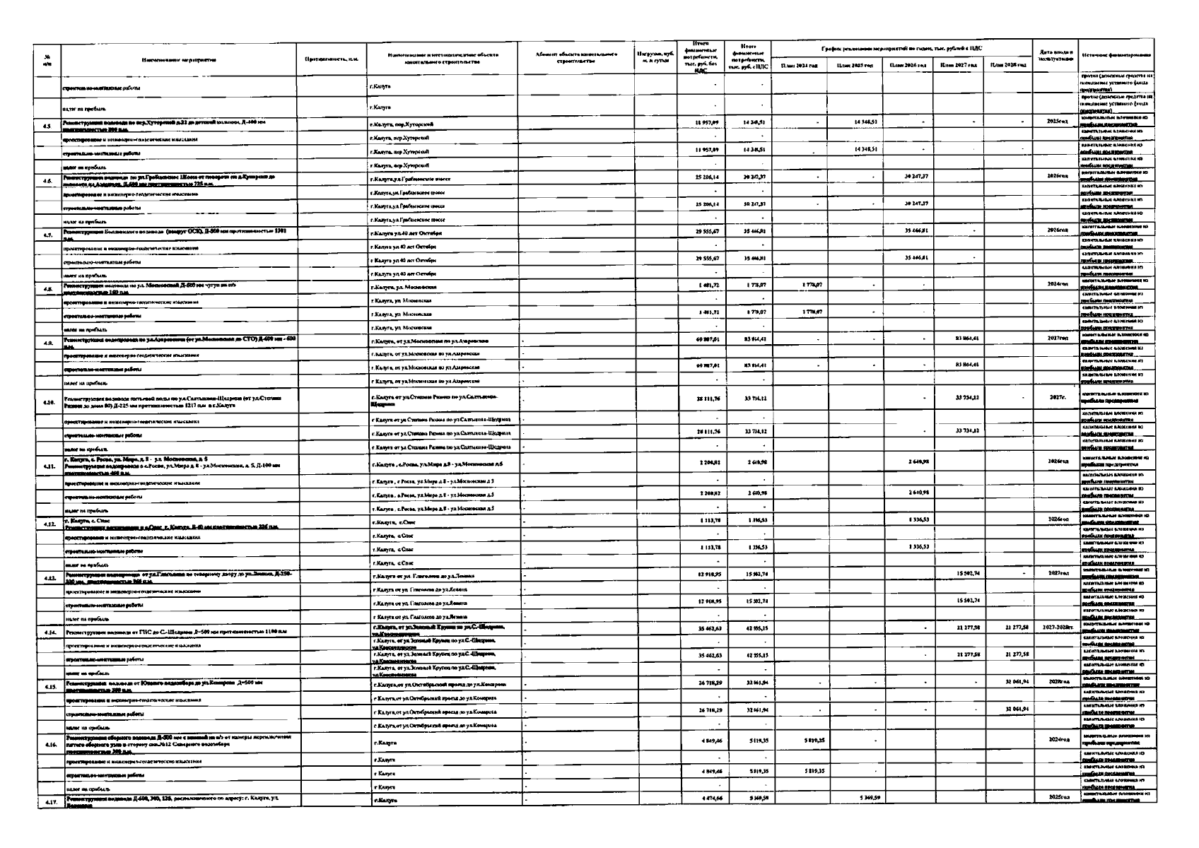
"О внесении изменения в приказ министерства строительства и жилищно-коммунального хозяйства Калужской области от 18.10.2023 № 535 "Об утверждении инвестиционной программы государственного предприятия Калужской области "Калугаоблводоканал" по развитию систем водоснабжения и водоотведения на территории муниципального образования ГО "Город Калуга" Калужской области на 2024-2028 гг." (в редакции приказа министерства строительства и жилищно-коммунального хозяйства Калужской области от 26.09.2024 № 469)"
Номер опубликования: 4001202509150005
Дата опубликования: 15.09.2025
Страница №47 из 68:
Увеличить