Официальное опубликование правовых актов
ОФИЦИАЛЬНОЕ ОПУБЛИКОВАНИЕ
Приказ Министерства строительства и жилищно-коммунального хозяйства Калужской области от 12.09.2025 № 495
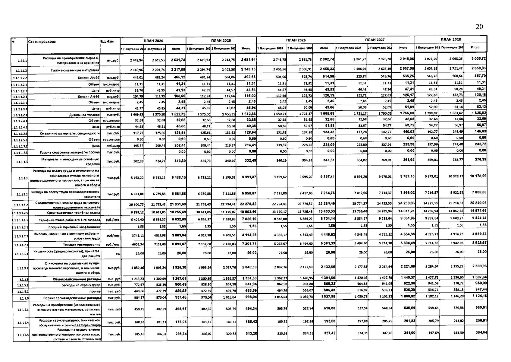
"О внесении изменения в приказ министерства строительства и жилищно-коммунального хозяйства Калужской области от 22.08.2023 № 425 "Об утверждении инвестиционной программы государственного предприятия Калужской области "Калугаоблводоканал" по развитию систем водоснабжения и водоотведения на территории города Людиново Калужской области на 2024-2028 гг."
Номер опубликования: 4001202509150004
Дата опубликования: 15.09.2025
Страница №21 из 34:
Увеличить