Приказ Управления по охране объектов культурного наследия Калужской области от 19.06.2025 № 119
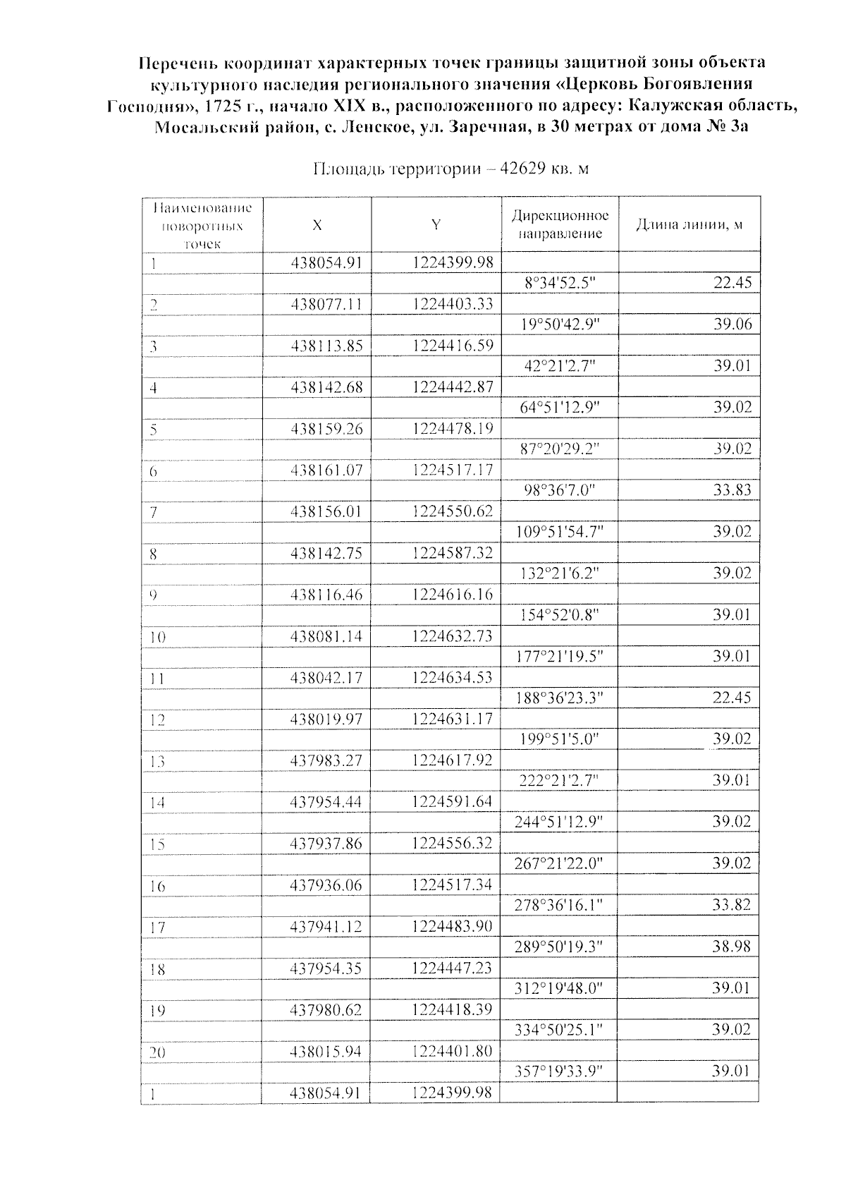
"Об утверждении графического описания местоположения границы и режима использования земель в границе защитной зоны объекта культурного наследия регионального значения "Церковь Богоявления Господня", 1725 г., начало XIX в., расположенного по адресу: Калужская область, Мосальский район, с. Ленское, ул. Заречная, в 30 метрах от дома № 3а"
(Зарегистрирован 24.06.2025 № 15617)
"Об утверждении графического описания местоположения границы и режима использования земель в границе защитной зоны объекта культурного наследия регионального значения "Церковь Богоявления Господня", 1725 г., начало XIX в., расположенного по адресу: Калужская область, Мосальский район, с. Ленское, ул. Заречная, в 30 метрах от дома № 3а"
(Зарегистрирован 24.06.2025 № 15617)
Номер опубликования: 4001202507020003
Дата опубликования:
02.07.2025
