Приказ Министерства сельского хозяйства Калужской области от 31.03.2025 № 107
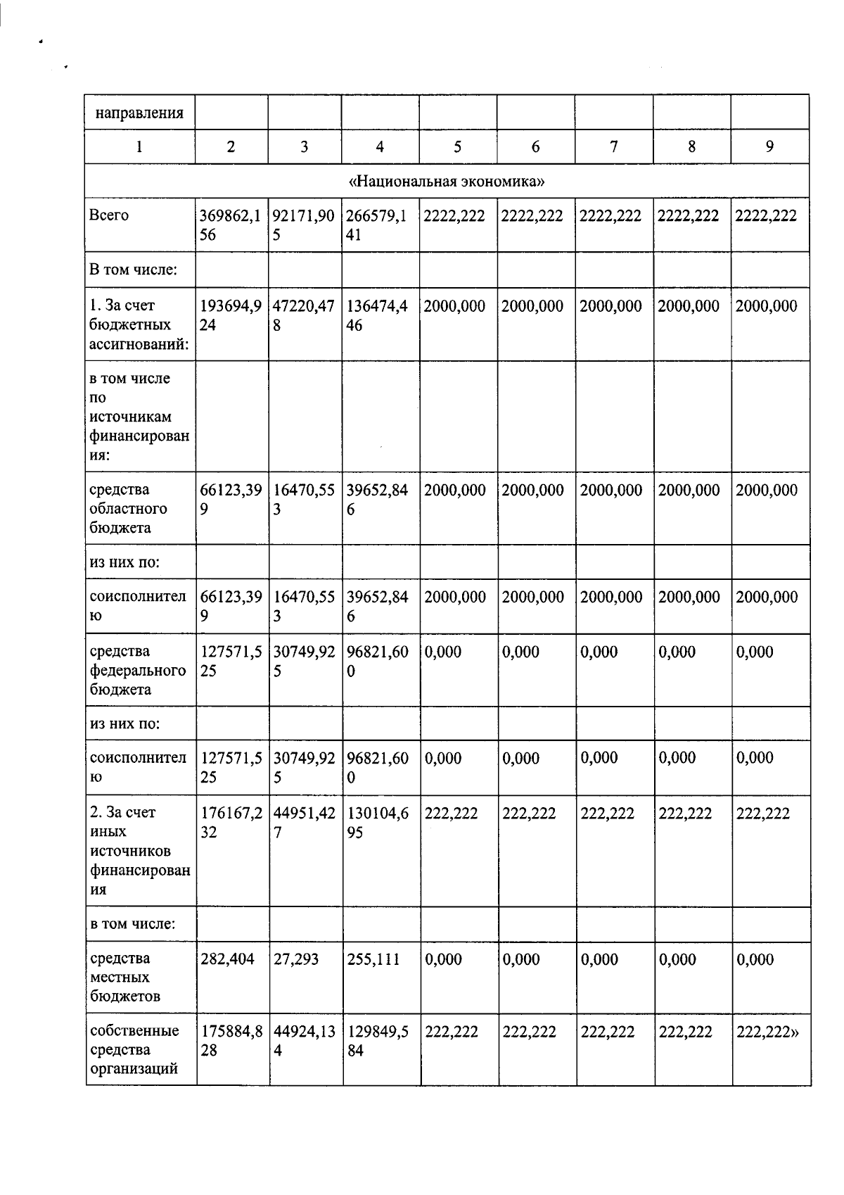
"О внесении изменений в приказ министерства сельского хозяйства Калужской области от 16.02.2024 № 30 "Об утверждении направления "Национальная экономика" государственной программы Калужской области "Эффективное вовлечение в оборот земель сельскохозяйственного назначения и развитие мелиоративного комплекса в Калужской области" (в ред. приказов министерства сельского хозяйства Калужской области от 13.09.2024 № 258, от 20.12.2024 № 394, от 11.02.2025 № 39)"
(Зарегистрирован 14.04.2025 № 15449)
"О внесении изменений в приказ министерства сельского хозяйства Калужской области от 16.02.2024 № 30 "Об утверждении направления "Национальная экономика" государственной программы Калужской области "Эффективное вовлечение в оборот земель сельскохозяйственного назначения и развитие мелиоративного комплекса в Калужской области" (в ред. приказов министерства сельского хозяйства Калужской области от 13.09.2024 № 258, от 20.12.2024 № 394, от 11.02.2025 № 39)"
(Зарегистрирован 14.04.2025 № 15449)
Номер опубликования: 4001202504160003
Дата опубликования:
16.04.2025
