Официальное опубликование правовых актов
ОФИЦИАЛЬНОЕ ОПУБЛИКОВАНИЕ
Приказ Управления по охране объектов культурного наследия Калужской области от 22.01.2025 № 11
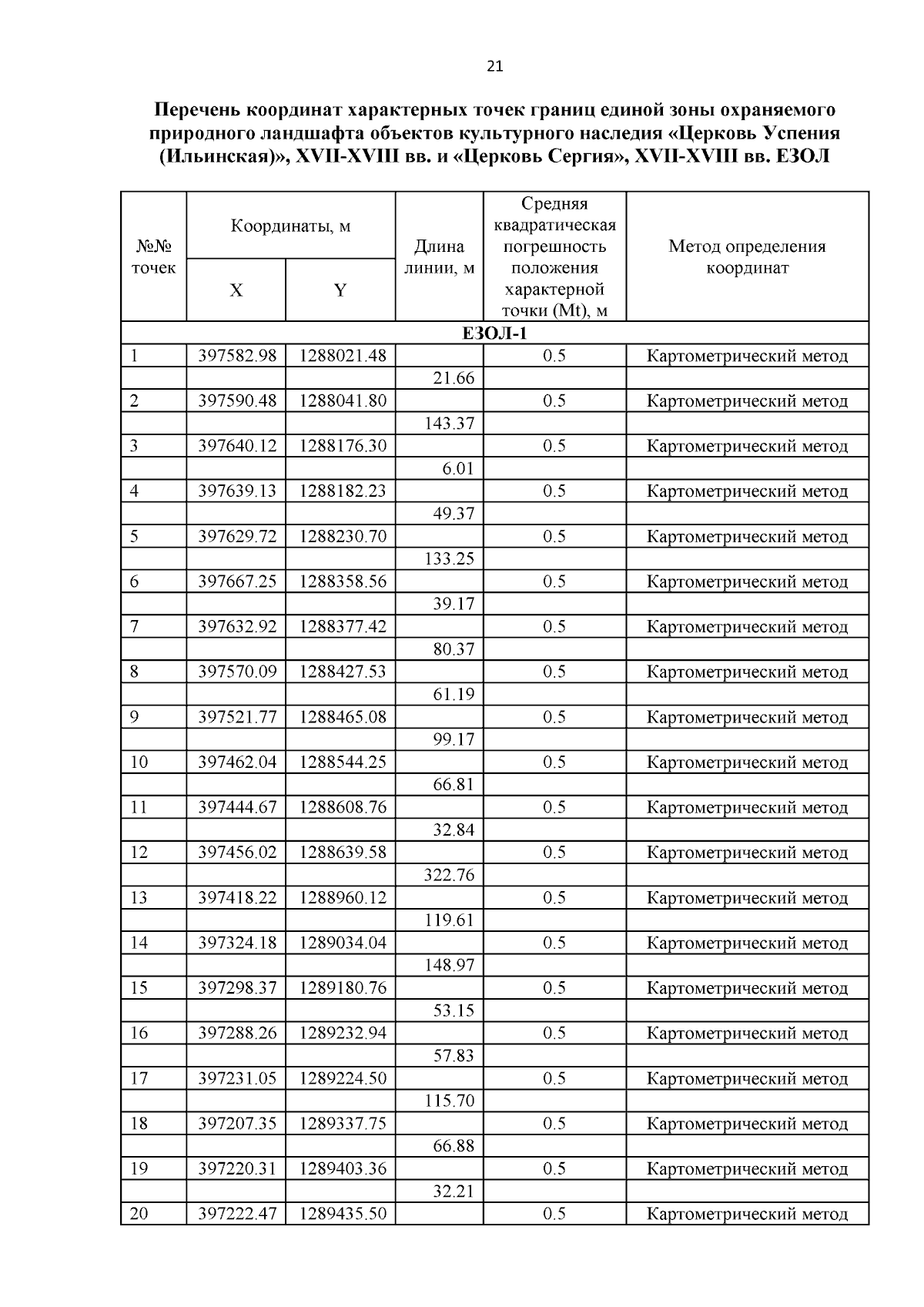
"Об установлении объединенной зоны охраны объекта культурного наследия федерального значения "Церковь Успения (Ильинская)", XVII-XVIII вв., расположенного по адресу: Калужская область, Перемышльский район, село Ильинское, д. 97 и объекта культурного наследия регионального значения "Церковь Сергия", XVII-XVIII вв., расположенного по адресу: Калужская область, Перемышльский район, село Ильинское, д. 97-Б и утверждении требований к градостроительным регламентам в границах территорий данных зон"
(Зарегистрирован 27.02.2025 № 15252)
Номер опубликования: 4001202503030002
Дата опубликования: 03.03.2025
Страница №21 из 44:
Увеличить