Официальное опубликование правовых актов
ОФИЦИАЛЬНОЕ ОПУБЛИКОВАНИЕ
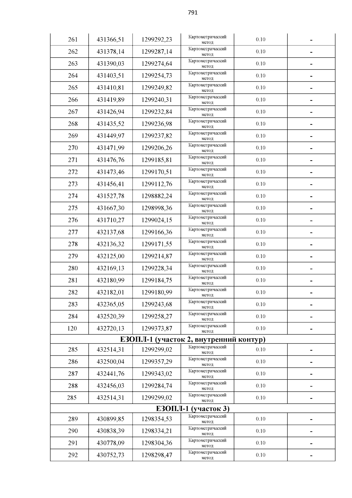
Приказ Управления по охране объектов культурного наследия Калужской области от 25.12.2024 № 140
"Об установлении объединённой зоны охраны объектов культурного наследия (памятников истории и культуры) народов Российской Федерации, расположенных на территории города Калуги и утверждении требований к градостроительным регламентам в границах территорий данной зоны"
(Зарегистрирован 23.01.2025 № 15159)
Номер опубликования: 4001202501270001
Дата опубликования: 27.01.2025
Страница №791 из 858:
Увеличить