Официальное опубликование правовых актов
ОФИЦИАЛЬНОЕ ОПУБЛИКОВАНИЕ
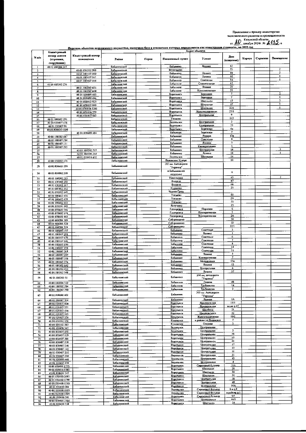
Приказ Министерства экономического развития Калужской области от 20.12.2024 № 2135-п
"Об определении перечня объектов недвижимого имущества, налоговая база в отношении которых определяется как кадастровая стоимость, на 2025 год"
(Зарегистрирован 24.12.2024 № 14981)
Номер опубликования: 4001202412260002
Дата опубликования: 26.12.2024
Страница №2 из 61:
Увеличить