Официальное опубликование правовых актов
ОФИЦИАЛЬНОЕ ОПУБЛИКОВАНИЕ
Приказ Министерства строительства и жилищно-коммунального хозяйства Калужской области от 23.05.2024 № 255
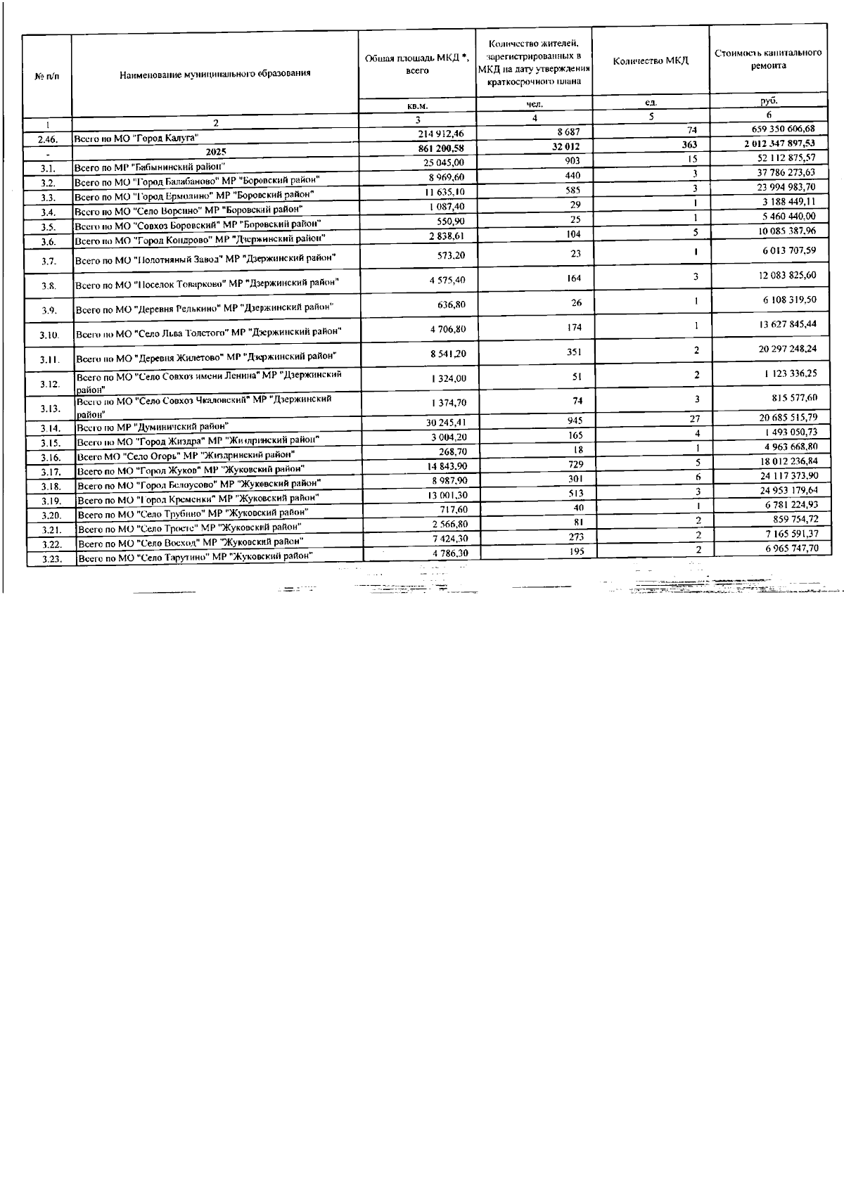
"О внесении изменений в приказ министерства строительства и жилищно-коммунального хозяйства Калужской области от 20.05.2022 № 246 "Об утверждении краткосрочного плана реализации региональной программы капитального ремонта общего имущества в многоквартирных домах Калужской области на 2023 - 2025 годы" (в редакции приказов министерства строительства и жилищно-коммунального хозяйства Калужской области от 06.04.2023 № 198, от 08.12.2023 № 638)"
(Зарегистрирован 03.06.2024 № 14343)
Номер опубликования: 4001202406060004
Дата опубликования: 06.06.2024
Страница №29 из 31:
Увеличить