Официальное опубликование правовых актов
ОФИЦИАЛЬНОЕ ОПУБЛИКОВАНИЕ
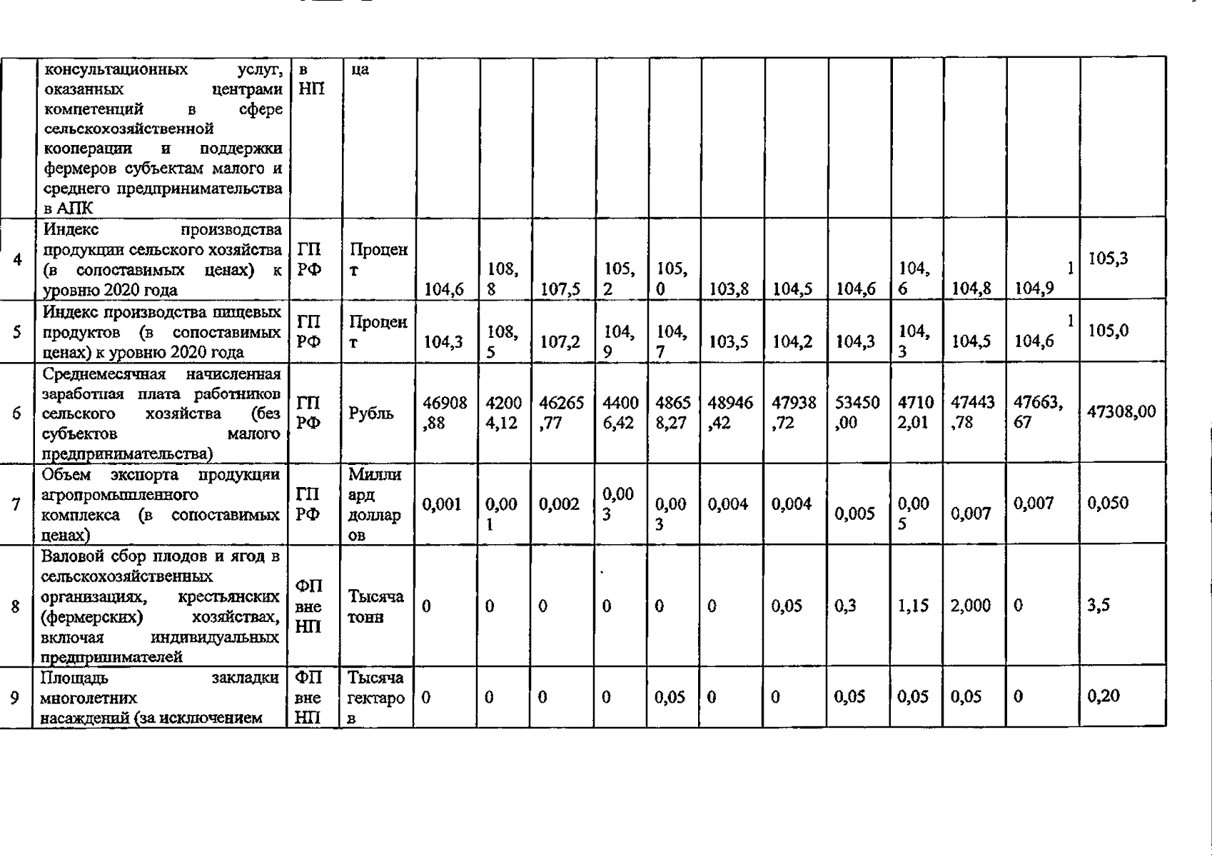
Приказ Министерства сельского хозяйства Калужской области от 16.02.2024 № 29
"Об утверждении направления "Национальная экономика" государственной программы Калужской области "Развитие сельского хозяйства и регулирование рынков сельскохозяйственной продукции, сырья и продовольствия в Калужской области"
(Зарегистрирован 06.03.2024 № 14025)
Номер опубликования: 4001202403110001
Дата опубликования: 11.03.2024
Страница №29 из 68:
Увеличить