Официальное опубликование правовых актов
ОФИЦИАЛЬНОЕ ОПУБЛИКОВАНИЕ
Приказ Министерства строительства и жилищно-коммунального хозяйства Калужской области от 08.12.2023 № 638
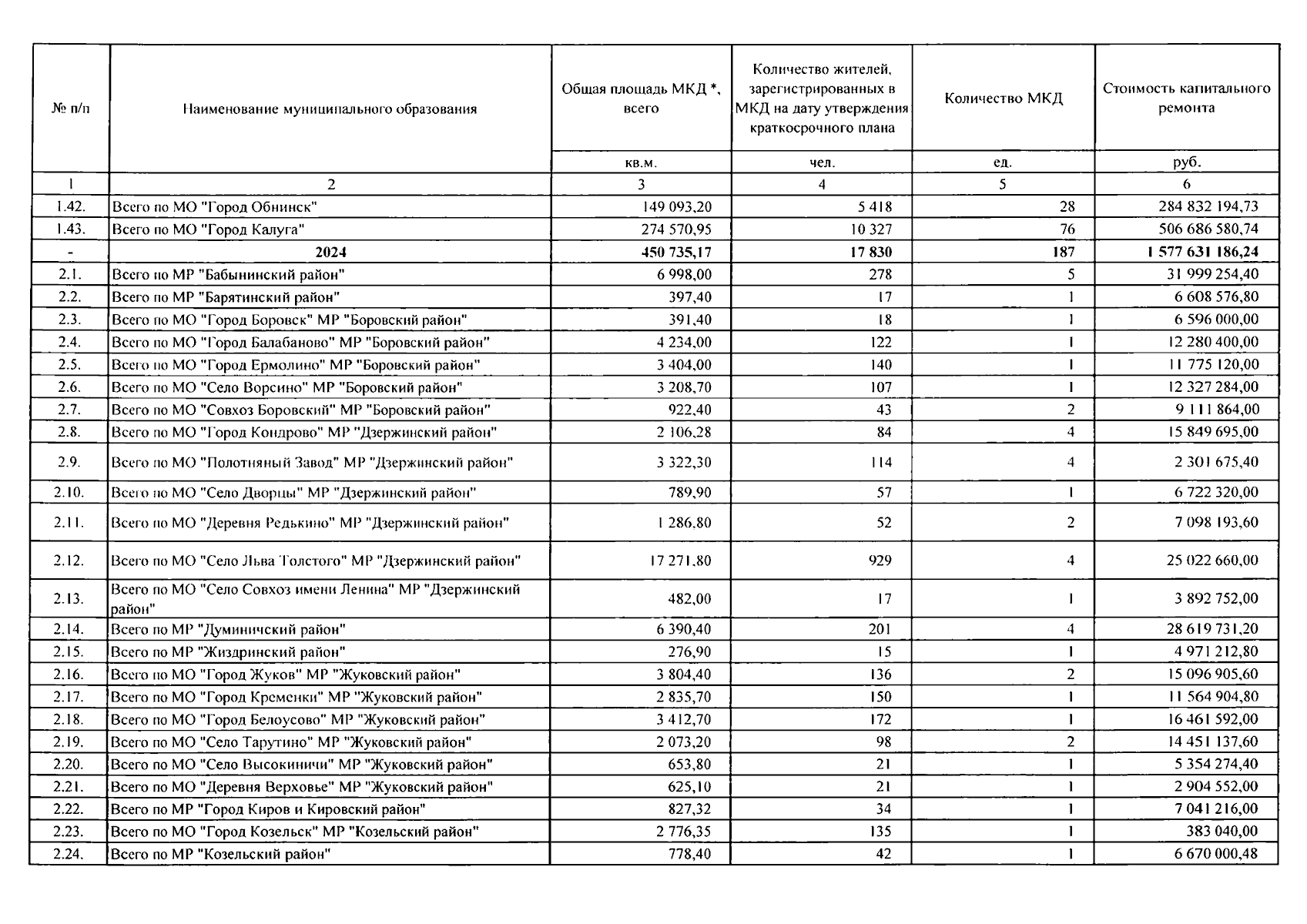
"О внесении изменений в приказ министерства строительства и жилищно-коммунального хозяйства Калужской области от 20.05.2022 № 246 "Об утверждении краткосрочного плана реализации региональной программы капитального ремонта общего имущества в многоквартирных домах Калужской области на 2023 - 2025 годы" (в редакции приказа министерства строительства и жилищно-коммунального хозяйства Калужской области от 06.04.2023 № 198)"
(Зарегистрирован 25.12.2023 № 13719)
Номер опубликования: 4001202401010004
Дата опубликования: 01.01.2024
Страница №43 из 45:
Увеличить