Официальное опубликование правовых актов
ОФИЦИАЛЬНОЕ ОПУБЛИКОВАНИЕ
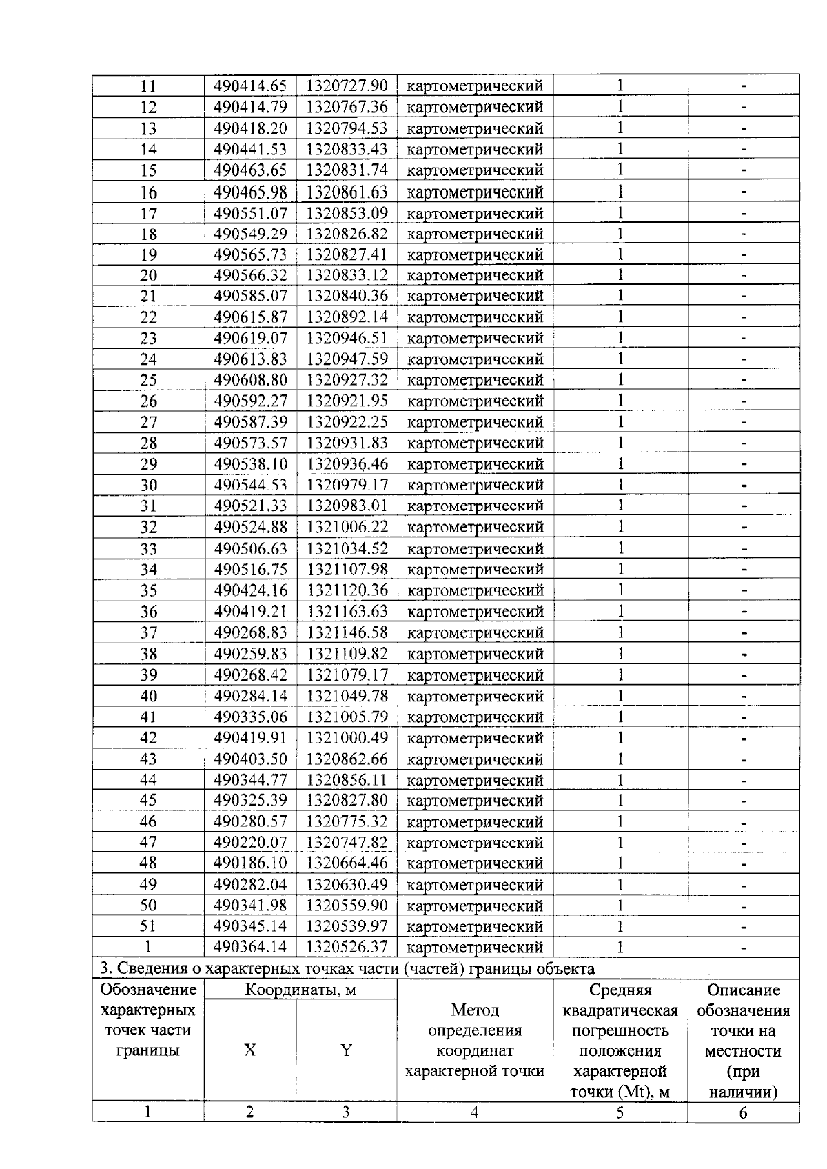
Приказ Министерства природных ресурсов и экологии Калужской области от 13.10.2023 № 681-23
"Об особо охраняемой природной территории регионального значения – памятнике природы "Парк усадьбы в с. Спас-Загорье"
(Зарегистрирован 01.11.2023 № 13456)
Номер опубликования: 4001202311030004
Дата опубликования: 03.11.2023
Страница №3 из 6:
Увеличить