Официальное опубликование правовых актов
ОФИЦИАЛЬНОЕ ОПУБЛИКОВАНИЕ
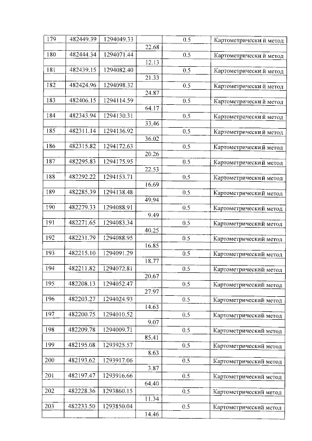
Приказ Управления по охране объектов культурного наследия Калужской области от 29.03.2023 № 35
"Об установлении зон охраны объекта культурного наследия регионального значения "Мемориальный комплекс в честь курсантов Подольского пехотного и артиллерийского училищ, погибших в октябре 1941 г.", 1975 г. (Калужская область, Малоярославецкий район, с. Ильинское, ул. Имени Подольских курсантов, д. 62А)" и утверждении требований к градостроительным регламентам в границах территорий данных зон"
(Зарегистрирован 26.06.2023 № 13235)
Номер опубликования: 4001202306290005
Дата опубликования: 29.06.2023
Страница №24 из 50:
Увеличить