Официальное опубликование правовых актов
ОФИЦИАЛЬНОЕ ОПУБЛИКОВАНИЕ
Приказ Министерства цифрового развития Калужской области от 28.11.2022 № 284
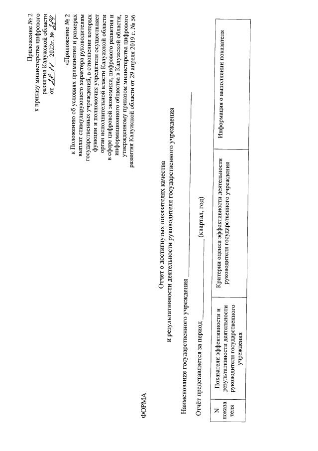
"О внесении изменений в приказ министерства цифрового развития Калужской области от 29.04.2019 № 56 "О реализации Закона Калужской области "Об установлении системы оплаты труда работникам государственных учреждений, в отношении которых функции и полномочия учредителя осуществляет орган исполнительной власти Калужской области в сфере цифровой экономики, цифрового развития и информационного общества в Калужской области" (в ред. приказов министерства цифрового развития Калужской области от 06.08.2019 № 118, от 08.12.2020 № 383)"
(Зарегистрирован 16.12.2022 № 12758)
Номер опубликования: 4001202212210001
Дата опубликования: 21.12.2022
Страница №9 из 14:
Увеличить