Официальное опубликование правовых актов
ОФИЦИАЛЬНОЕ ОПУБЛИКОВАНИЕ
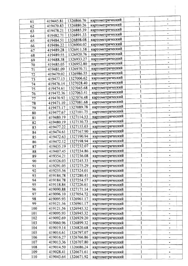
Приказ Министерства природных ресурсов и экологии Калужской области от 24.11.2022 № 937-22
"Об особо охраняемой природной территории регионального значения – памятнике природы "Источники пресных вод у д. Брагино"
(Зарегистрирован 15.12.2022 № 12755)
Номер опубликования: 4001202212190002
Дата опубликования: 19.12.2022
Страница №5 из 9:
Увеличить