Официальное опубликование правовых актов
ОФИЦИАЛЬНОЕ ОПУБЛИКОВАНИЕ
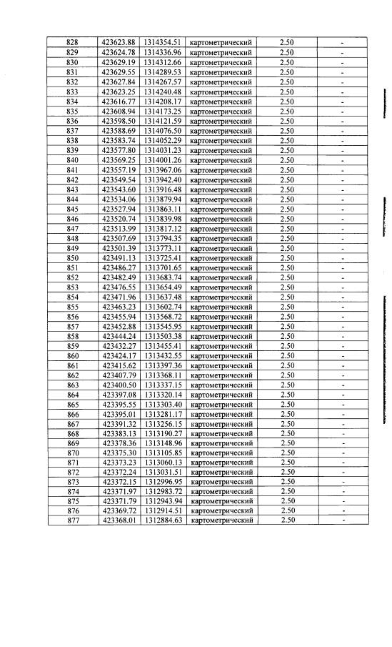
Приказ Министерства природных ресурсов и экологии Калужской области от 06.12.2021 № 1176-21
"Об объявлении "Калужско-Алексинского каньона" особо охраняемой природной территорией регионального значения – памятником природы"
(Зарегистрирован 20.12.2021 № 11319)
Номер опубликования: 4001202112240005
Дата опубликования: 24.12.2021
Страница №20 из 105:
Увеличить