Официальное опубликование правовых актов
ОФИЦИАЛЬНОЕ ОПУБЛИКОВАНИЕ
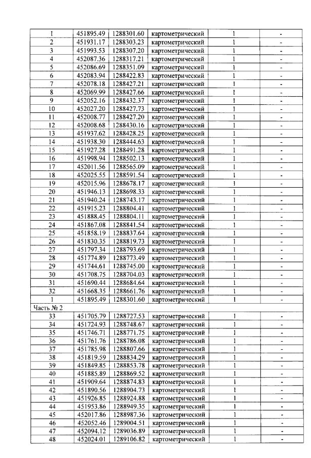
Приказ Министерства природных ресурсов и экологии Калужской области от 18.11.2021 № 1109-21
"О реорганизации особо охраняемой природной территории регионального значения – памятника природы "Парк с. Бегичево Дзержинского района"
(Зарегистрирован 01.12.2021 № 11158)
Номер опубликования: 4001202112030001
Дата опубликования: 03.12.2021
Страница №4 из 8:
Увеличить