Официальное опубликование правовых актов
ОФИЦИАЛЬНОЕ ОПУБЛИКОВАНИЕ
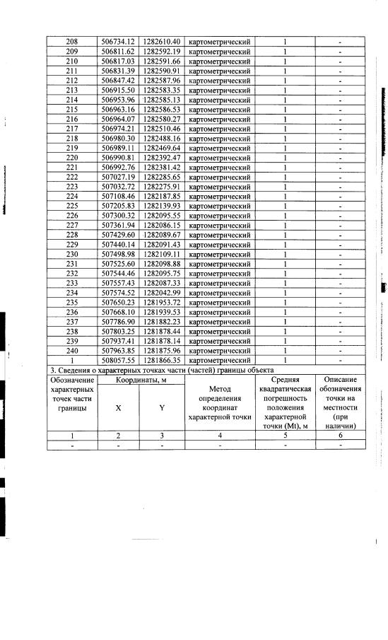
Приказ Министерства природных ресурсов и экологии Калужской области от 25.10.2021 № 1006-21
"Об особо охраняемой природной территории регионального значения – памятнике природы "Р. Руть с охранным ландшафтом на расстоянии по 300 м в обе стороны от уреза воды"
(Зарегистрирован 29.11.2021 № 11148)
Номер опубликования: 4001202112010003
Дата опубликования: 01.12.2021
Страница №7 из 10:
Увеличить