Официальное опубликование правовых актов
ОФИЦИАЛЬНОЕ ОПУБЛИКОВАНИЕ
Приказ Управления по охране объектов культурного наследия Калужской области от 19.08.2021 № 153
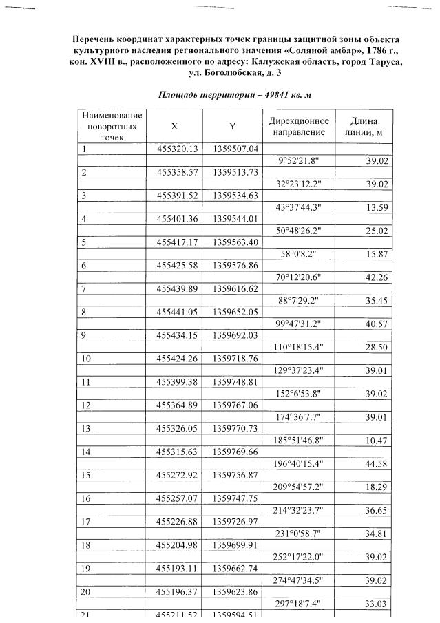
"Об утверждении графического описания местоположения границы и режима использования земель в границе защитной зоны объекта культурного наследия регионального значения "Соляной амбар", 1786 г., кон. XVIII в., расположенного по адресу: Калужская область, город Таруса, ул. Боголюбская, д. 3"
(Зарегистрирован 27.08.2021 № 10865)
Номер опубликования: 4001202109020001
Дата опубликования: 02.09.2021
Страница №3 из 5:
Увеличить