Официальное опубликование правовых актов
ОФИЦИАЛЬНОЕ ОПУБЛИКОВАНИЕ
Приказ Управления по охране объектов культурного наследия Калужской области от 22.07.2021 № 138
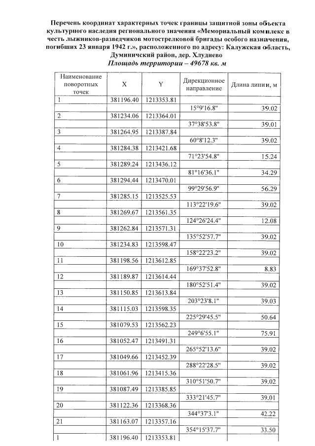
"Об утверждении графического описания местоположения границы и режима использования земель в границе защитной зоны объекта культурного наследия регионального значения "Мемориальный комплекс в честь лыжников-разведчиков мотострелковой бригады особого назначения, погибших 23 января 1942 г.", расположенного по адресу: Калужская область, Думиничский район, дер. Хлуднево"
(Зарегистрирован 02.08.2021 № 10819)
Номер опубликования: 4001202108110006
Дата опубликования: 11.08.2021
Страница №3 из 4:
Увеличить