Приказ Управления по охране объектов культурного наследия Калужской области от 22.07.2021 № 139
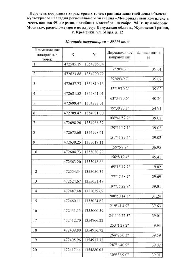
"Об утверждении графического описания местоположения границы и режима использования земель в границе защитной зоны объекта культурного наследия регионального значения "Мемориальный комплекс в честь воинов 49-й Армии, погибших в октябре - декабре 1941 г. при обороне Москвы", расположенного по адресу: Калужская область, Жуковский район, г. Кременки, ул. Мира, д. 12"
(Зарегистрирован 02.08.2021 № 1820)
"Об утверждении графического описания местоположения границы и режима использования земель в границе защитной зоны объекта культурного наследия регионального значения "Мемориальный комплекс в честь воинов 49-й Армии, погибших в октябре - декабре 1941 г. при обороне Москвы", расположенного по адресу: Калужская область, Жуковский район, г. Кременки, ул. Мира, д. 12"
(Зарегистрирован 02.08.2021 № 1820)
Номер опубликования: 4001202108110004
Дата опубликования:
11.08.2021
