Официальное опубликование правовых актов
ОФИЦИАЛЬНОЕ ОПУБЛИКОВАНИЕ
Приказ Управления по охране объектов культурного наследия Калужской области от 30.06.2021 № 101
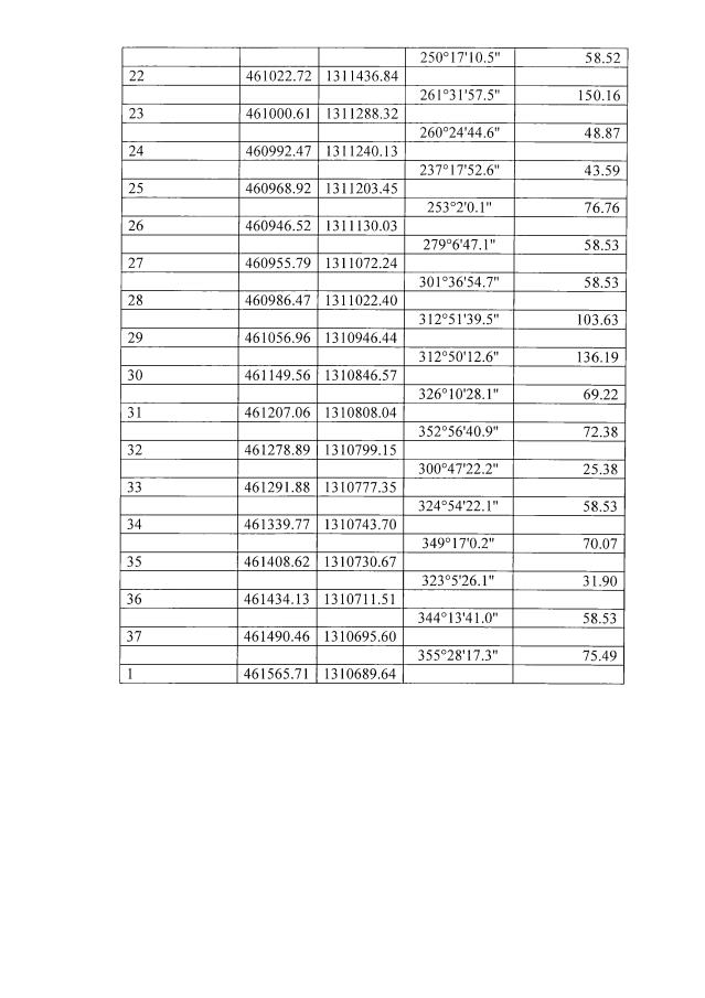
"Об утверждении графического описания местоположения границы и режима использования земель в границе защитной зоны объекта культурного наследия регионального значения "Ансамбль усадьбы Белкиных, XVIII - XIX (2 объекта) с парком", XVIII - XIX вв., расположенного по адресу: Калужская область, Малоярославецкий район, с. Дольское, ул. Центральная, д. 1"
(Зарегистрирован 13.07.2021 № 10755)
Номер опубликования: 4001202107160009
Дата опубликования: 16.07.2021
Страница №4 из 5:
Увеличить