Приказ Управления по охране объектов культурного наследия Калужской области от 30.06.2021 № 100
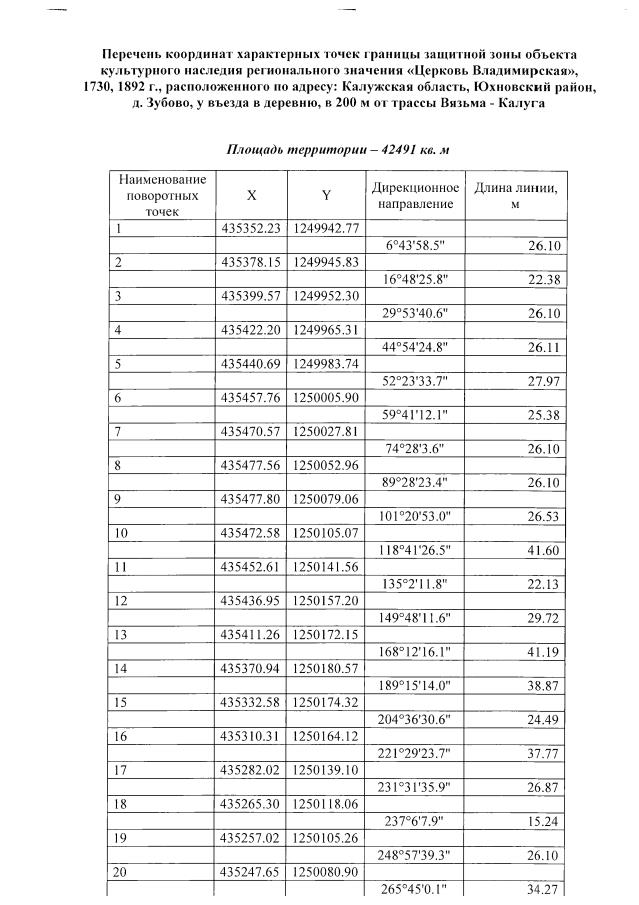
"Об утверждении графического описания местоположения границы и режима использования земель в границе защитной зоны объекта культурного наследия регионального значения "Церковь Владимирская", 1730, 1892 гг., расположенного по адресу: Калужская область, Юхновский район, д. Зубово, у въезда в деревню, в 200 м от трассы Вязьма - Калуга"
(Зарегистрирован 13.07.2021 № 10754)
"Об утверждении графического описания местоположения границы и режима использования земель в границе защитной зоны объекта культурного наследия регионального значения "Церковь Владимирская", 1730, 1892 гг., расположенного по адресу: Калужская область, Юхновский район, д. Зубово, у въезда в деревню, в 200 м от трассы Вязьма - Калуга"
(Зарегистрирован 13.07.2021 № 10754)
Номер опубликования: 4001202107160005
Дата опубликования:
16.07.2021
